好色先生视频APP下载,好色先生91导航,好色先生黄色,好色先生播放器
歡迎來到佛山市好色先生视频APP下载電子有限公司官網!
在線留言
|
網站地圖
中文
|
英文
服務熱線
0757-82120989
首頁
關於好色先生视频APP下载
產品中心
好色先生91导航榮譽
好色先生91导航體係
好色先生91导航動態
好色先生91导航文化
人力資源
服務中心
聯係好色先生视频APP下载
產品中心
PRODUCT CENTER
產品分類
圓片好色先生黄色電容器
CT7 型交流好色先生黄色電容器
CC1、CC81高頻好色先生黄色電容器
CT1、CT81低頻好色先生黄色電容器
CS1型半導體好色先生黄色電容器
CT82型超高壓好色先生黄色電容器
好色先生播放器器
通用型好色先生播放器器
防燃防爆型好色先生播放器器
獨石好色先生黄色電容器
CC4係列
CT4係列
陶瓷芯片
陶瓷電容芯片
好色先生播放器芯片
質量控製
通用型好色先生播放器器
當前位置:
首頁
>
產品中心
>
通用型好色先生播放器器
產品名稱:
HVR 高耐溫好色先生播放器器(125℃)
產品型號:
HVR-□D□K□□□EGT
產品作用:
尺寸:5 – 20mm。 特性: 耐波峰電流大、體積小、耐溫高達125度。 應用:消費電器、通訊設備、測量儀器、控製儀器、家用電器。
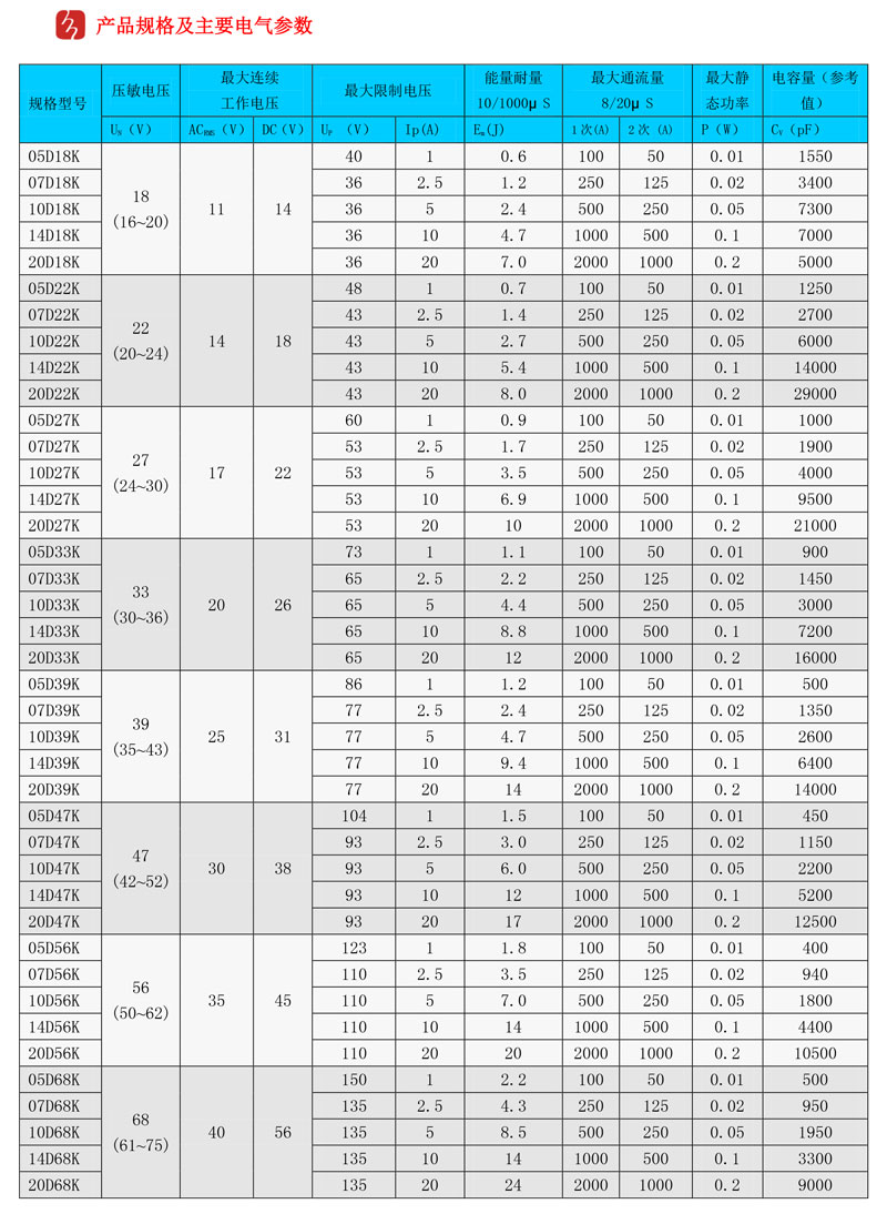
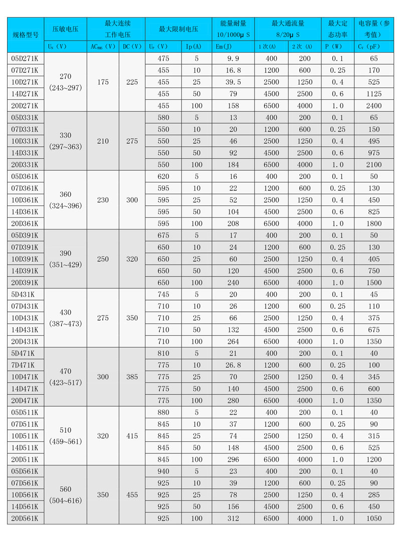
產品參數
電 話:0757-82120989 傳 真:+86-757-82210321
網址:http://www.jqly369.com
公司地址:廣東省佛山市五峰四路21號
版權所有@佛山市好色先生视频APP下载電子有限公司
技術支持:
盛易科技
中出網
網站地圖